真正的高手都拥有“泰勒公式”思维
在人生的成长过程中,很多人追求一蹴而就的成功,然而真正的高手却明白,通向卓越的路途往往需要长期的积累和渐进的改进。泰勒公式作为数学中的一个核心概念,蕴含了逐步逼近的思想,它不仅适用于数值计算,也能够映射出我们在人生中逐步成长和精进的过程,真正的高手都拥有“泰勒公式”思维。
01
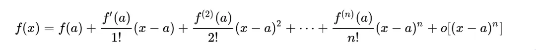
—什么是泰勒公式思维?泰勒公式是微积分中的一个重要工具,它通过在一点处利用函数的导数,构造一个多项式近似函数,从而在一个小范围内逼近该函数。这个公式的精髓在于,复杂的函数可以通过逐步增加近似项的方式,以一种渐进的方式被更精准地描述。泰勒公式的一般形式为:

其中,每一项都代表了函数在点a 处的导数与x-a之间的关联,通过增加更多的项,近似的精度不断提高。
02
—
泰勒公式给我们的成长启示
1. 扎实基础:从当下出发,积累每一步
泰勒公式的第一项是函数在某一点的取值,也可以看作是我们当前的现状,无论我们处于人生的哪个阶段,最重要的是对现状有清晰的认知和把握。我们在每一个阶段都需要扎实地积累基础,不急于挑战过于复杂的任务,而是通过一个个小的目标来逐步提升自己。
比如,在职业生涯中,聪明的人往往不会一开始就去追求高难度的项目,而是会从简单的任务中吸取经验,逐步扩大自己的能力范围。这就像泰勒公式的第一项,首先关注当前的状态,踏实积累基础。
2. 灵活调整:在变化中找到提升路径
泰勒公式的第二项引入了导数,反映了变化的速度。对我们来说,人生中的成功也并不是静止不变的,而是需要我们不断调整和优化自己的策略和方法。我们会在成长过程中遇到瓶颈,但通过对这些问题的及时识别和调整,我们才能保持进步的节奏。这种类似于“导数”的思维模式,让我们在面对变化时,始终有能力进行调整,从而持续提升自己。
每一个导数代表着一个新的视角,在不同的阶段我们需要学会从不同的维度思考问题。是否需要加强学习?是否应该改善沟通方式?是否要拓展新的技能?每一个小的调整都像泰勒公式中的导数一样,为下一步的突破打下基础。
3. 容忍误差:以持久努力实现质变
泰勒公式的逼近是有误差的,误差会随着项数的增加而逐渐减小。在人生中,聪明的人懂得,短期内可能无法达到完美的目标,但只要不断积累,逐步修正误差,最终可以接近理想的状态。他们不会因为眼前的不足而气馁,而是善于通过不断的努力去缩小与目标之间的差距。
这种心态反映了一种长远的眼光,生活中往往充满了波折和不确定性,真正的高手懂得忍受暂时的误差,通过持续的努力来改善和接近理想的结果。

This message is used to verify that this feed (feedId:72942085990685696) belongs to me (userId:72935343738215424). Join me in enjoying the next generation information browser https://follow.is.
70918248
References:
natural steroids For bodybuilding (repo.gusdya.Net)
70918248
References:
national geographic science of steroids (Valeria)
70918248
References:
anabolics online – Garrett,
Another big part of Anavar’s formulation is Epiandrosterone (Epiandro),
which helps enhance strength positive aspects and
and muscle density. Other anabolic steroids typically trigger
increases in visceral fat, causing a bloated look. Due To This Fact, if women and men want to achieve a
small/tight waist, Anavar is a shrewd choice.
Thus it’s pretty frequent for people to get scammed when making
an attempt to purchase anavar. Additionally anavar’s fairly rare, making it
costly on the black market. As a outcome, the danger is even greater when making an attempt
to acquire this steroid as dealers often minimize the dose without you knowing, or promote you fillers
to increase their profit margins. Anavar is certainly one of
the “best steroids” to take if you’re decided to burn fats, construct muscle, and maintain your female beauty.
Anavar is a spinoff of dihydrotestosterone (DHT), a hormone known to contribute to female and male pattern baldness.
If you’re genetically predisposed to androgenic alopecia (male or feminine sample baldness), utilizing Anavar may speed up
hair thinning or shedding. By avoiding these
items when taking Anavar, you can reduce the
risk of unwanted facet effects and get the most out of the compound’s advantages.
The Meals and Drug Administration (FDA) has not permitted Anavar
for non-medical use, such as bodybuilding or performance enhancement.
As a Schedule III managed substance, Anavar is classified as a prescription drug
in the Usa. It is illegal to use or possess Anavar with no valid prescription from a licensed healthcare supplier.
When on the lookout for an excellent various to Anavar, it is
essential to suppose about safety, legality, and effectiveness.
Anvarol by CrazyBulk stands out as a best choice for those in search of a dependable substitute for Anavar.
And it is different from Urology, a surgical specialty that doesn’t concentrate on the frequent medical elements of how androgens impact men.
These days you ought to purchase legal steroid
alternatives on-line, with producers claiming to recreate the consequences of
anabolic steroids; but with little to no unwanted
effects. We don’t imagine such dietary supplements are as highly effective as actual anavar, however they
won’t pose the same harmful unwanted effects as oxandrolone.
Alongside Anavar will you be taking any stimulants – caffeine or something
stronger like clenbuterol? Lots of folks who take performance enhancing drugs take a
massive number of different drugs/supplements alongside, how are these impacting on your restoration and rest?
As with any oral drug, a dosing that’s between mg a day is important, which might not be efficient for bodybuilders.
Anavar is expounded with the dihydrotestosterone also identified as
DHT derived from the anabolic steroid Oxandrolone. This is no surprise when you
think about the unique motives for creating each of these
anabolic steroids.
Anavar can increase your metabolism, which can help you burn more calories throughout the day.
This might help you keep your strength and stop muscle loss whereas you’re chopping.
One of the explanation why Anavar is so in style is as a outcome of it is a
relatively protected steroid. Anavar has since been used by bodybuilders and athletes as a means to help them build muscle and increase strength.
†Furthermore, it’s essential to notice that the Food and Drug Administration has not verified the efficacy or security claims made about this product.
Due To This Fact, it shouldn’t be utilized as a
treatment for diagnosing, treating, curing,
or averting any health circumstances. However, it
often causes virilization side effects, inflicting girls to look and sound extra masculine.
Nonetheless, Winstrol should be strictly avoided by
folks with earlier liver issues, or those who drink massive quantities of alcohol.
Joint pain is one other frequent complaint on Winstrol, which happens as a outcome of it lowering fluid that
surrounds the joints (acting as cushioning). Thus, anyone with coronary heart situations or existing hypertension should avoid taking Winstrol.
Anavar has been nicknamed the ‘girl steroid’
because ladies tolerate the steroid better than other choices.
If hair loss is a serious concern, Anavar will not be
the finest option, especially if you have a genetic predisposition. Exploring alternative health or hormone optimization strategies that don’t contain DHT derivatives could be
a better long-term alternative. Steroids may help to deal with hair loss by reversing the
effects of these elements. However, it could be very important observe
that steroids can also cause hair loss.
The leaner you get, the extra vascularity you’ll be in a position to show off to your friends.
Use hair products that fight DHT or increase hair strength, like
Ketoconazole shampoos. By following your doctor’s
advice and making these changes, you possibly can take care of Anavar’s effects better.
Decaduro is a safe yet highly effective Deca Durabolin alternative designed to
maximise your muscle & energy features. Nitric-Max is
an superior bodybuilding supplement formulated to assist towards blood flow & oxygen circulation, growing your power, energy &
recovery.
Nonetheless, if you’re an skilled consumer on the lookout for extra important gains, Winstrol could be the more sensible choice for you.
Steroids can also affect levels of cholesterol, and this can be a
concern for cardiovascular health. Anavar has a minimal effect on levels of cholesterol, and it
could even improve HDL (good) cholesterol levels.
Winstrol, on the other hand, can lower HDL cholesterol and increase LDL (bad) cholesterol levels.
Turinabol, also called Tbol, is an oral anabolic steroid that was initially developed in East Germany within the 1960s.
It is a spinoff of Dianabol and was commonly used by athletes
within the former Soviet Union and East Germany to enhance their performance.
Whereas each are used for similar purposes, they’ve completely different effects on the physique and come
with their own set of dangers.
References:
bodybuilders who don’t use steroids
With elevated purple blood cell depend and increased ATP production,
muscular endurance additionally improves on Anavar.
Carcinoma of the breast in females with hypercalcemia (androgenic anabolic steroids could stimulate Osteolytic bone resorption).
The maximum penalty for possession or supply of anabolic steroids is five years imprisonment and/or a $55,000 fine.
So, in case you are serious about utilizing Anavar, ensure you get a prescription from your physician first.
Capucine Anav and Kev Adams have turn out to be synonymous with athletic
performance and dedication in fitness. As influencers within the fitness space, their affiliation with Anavar products has brought increased consideration to how efficient Anavar
may be when used correctly. Their transformations serve as examples of the facility
of Anav Athletics, making it simpler for individuals to
see how Anav results can elevate their performance.
They keep a user-friendly on-line platform, facilitating
a seamless buying experience. This vendor is recognized for its commitment to high quality and customer satisfaction, ensuring that the products meet trade requirements.
Pure Anabolics sources Anavar from accredited producers, providing assurance of legitimacy and purity.
Anvarol, like anavar, can additionally be appropriate for girls to use; particularly if they’re desirous to shed
pounds and increase muscle tone without any adverse side effects.
It remains as one of the few anabolic steroids nonetheless
permitted by the FDA. However, like with anything in life you’ll all the time get some
sensitive individuals or those that choose to overdose.
Clomid can be not a favorable PCT for ladies, as it could trigger the ovaries to turn out to
be oversensitive. There had been no dosage directions specific to ladies when Anavar was first released.
The solely caution was that pregnant ladies should refrain from utilizing the drug.
Bodybuilders generally take a dose of Anavar 45 minutes before a
workout, leading to a constructive effect on motivation, energy ranges, and focus.
Today, Anavar is against the law for leisure use in almost every country on the earth, except Mexico, the place it
may be purchased at a neighborhood pharmacy.
Female users often make the most of doses as low as 5–10 mg every day to attain a lean,
sculpted physique without important danger
of masculinizing unwanted effects. In conclusion, Anavar is a popular anabolic steroid amongst each female and male customers because of its relatively delicate nature
and lower danger of unwanted aspect effects in comparability with
other steroids. Nevertheless, it’s important to strategy its use
with caution and beneath the steering of a medical skilled.
Proper dosing, cycle duration, and monitoring are crucial to make sure the most secure and handiest results while minimizing potential health risks.
In the health and bodybuilding world, Anavar (Oxandrolone) has turn into a highly sought-after anabolic steroid.
If you want to purchase Anavar in Mexico, you will be happy
to know that it is extensively obtainable on the market in the country.
Anavar is a controlled substance in Mexico, which implies that it could solely
be obtained with a prescription from a licensed medical practitioner.
Enhanced recovery allows an athlete to extend training intensity.
It additionally helps in growing duration, and frequency, for better efficiency.
Excessive doses of zero.125 mg per kg annually can lead to virilization results.
However anyway, it is recommended to make PCT after the oxandrolone cycle, as
mentioned in a “First cycle” chapter above.
Clenbuterol’s anabolic potential stays controversial,
with our patients and plenty of bodybuilders failing to expertise any notable
increases in muscle hypertrophy throughout practical settings.
Anavar is the commonest counterfeit anabolic steroid we’ve encountered.
This is as a outcome of of a lack of pharmaceutical-grade
merchandise out there, thus extra reliance on UGL versions.
There are also a lot of testimonials on the positioning with earlier
than and after photos to back up their product claims.
Nevertheless, opposite to anavar, wild yam root HAS proven to increase HDL levels of cholesterol and improve cardiovascular health.
Nonetheless, there aren’t any studies to counsel that wild
yam is effective for building muscle. Anvarol is a chopping complement manufactured by Loopy Bulk, designed to mimic the same fat-burning results as anavar (oxandrolone).
As An Alternative, put cash into genuine merchandise from respected suppliers to achieve your health goals safely and successfully.
US athletes often stack Anavar with Clenbuterol for cutting or Testosterone Propionate for lean bulking.
These combinations are favored for their synergistic effects in reducing body fats whereas selling muscle retention. In Accordance to
insights from US bodybuilding forums, Anavar works finest in shorter cycles of 6–8 weeks,
followed by a comprehensive Post-Cycle Therapy (PCT)
routine to revive natural hormonal ranges. In Distinction To some anabolic brokers that trigger water retention or bloating, Anavar is prized for its clear, dry
positive aspects. It aids in fats loss by growing metabolic exercise and promoting lipolysis—the breakdown of
stored fat for power.
Masteron is an injectable steroid, and it’s the safer one to make
use of for longer cycles. Winstrol is prone to cause virilization effects in ladies,
including voice hoarseness30, zits, changes
in menstrual intervals, and progress of facial hair.
Females would need to make use of very low doses of
Winstrol to avoid these effects, within the 4mg to 10mg every day vary.
Anavar at 10mg/day for 6-8 weeks is nice, and you most likely won’t have any unwanted effects.
As for the best time to take Oxandrolone, break up it into
two doses day by day at 5mg/each (once with breakfast and
once more earlier than bedtime). For extra strength
positive aspects, combine with SARMs such as Ostarine at 12.5mg per day for the primary 5 weeks, then enhance
it to 25mg a day for weeks 6-8.
In one study, participants reached sleep 36% quicker after a single dose of valerian (38).
Calorie intake must be tailored to a user’s goals when biking Anavar.
Subsequently, if Anavar is taken with the intention of bulking and gaining lean mass, then a small calorie surplus could
also be adopted to enhance muscle and power outcomes.
Analysis signifies that if an individual administers Anavar and doesn’t
carry weights, any enhancements in muscular strength or mass may be
temporary (29).
We may compare Anavar with a protracted listing of AAS and other PEDs if you’re
making an attempt to determine on the best
compound on your subsequent cycle. Here, I want to give consideration to lining it up in opposition to two different well-liked chopping
steroids, plus a famous fat burner. Testosterone Enanthate is a
long-lasting ester that can be utilized for a 12-week cycle alongside
Anavar.
References:
what is the strongest anabolic steroid (https://istckonnect.com)
Informative article, totally what I needed. https://Glassiuk.Wordpress.com/
I got this web page from my friend wwho informed me regarding
this weeb page and aat the moment this time I am browsing this site and reading very informative content at this time. https://justhired.co.in/employer/tonebet-casino/
top physique bodybuilders
References:
alfaqeerbroadcast.com